gamingonlinux.com/2023/02/dead…
Dead Space got a small update for Steam Deck
In case you missed it in my recent Steam Deck news video, Motive released an update for the new Dead Space to improve it even more on Steam Deck.Liam Dawe (GamingOnLinux)
Please note: I'm not here for personal support to all your random questions. If you want help use:
- The Forum: gamingonlinux.com/forum/
- Discord: discord.gg/AghnYbMjYg
En un mes!
el próximo 20 de marzo participamos en el #MozFest
"Comunalidad digital. Preguntas para una Internet del futuro"
a la 1pm (hora Mex)
info:
pretalx.com/mozilla-festival-2…
Comunalidad digital. Preguntas para una Internet del futuro. Mozilla Festival 2023 - Virtual
¿Cómo nos imaginamos el mundo digital del futuro? ¿Qué hace falta cambiar? ¿Cómo? y otras muchas preguntas más nos hacemos, y lanzamos a las comunidades digitales, para imaginar, pensar e ir construyendo la Internet del futuro.pretalx.com
ICYMI: Hunt: Showdown now working on Steam Deck
youtu.be/WVoNLB8lXhM #SteamDeck #Gaming
Hunt: Showdown now working on Steam Deck
Testing out #HuntShowdown on #SteamDeck, as the developer has now added the needed #Linux Easy Anti-Cheat support for the version of EAC used. However, no an...YouTube
John Glenn made history #OTD in 1962 when he became the first American to orbit the Earth. He made 3 orbits (2 of them manually controlled) in the Friendship 7 capsule before splashing down.
Read the details of this landmark space flight: go.nasa.gov/40UWMSa
#NASAhistory
John Glenn, the First American to Orbit the Earth aboard Friendship 7
In February 1962, the space race between the United States and the Soviet Union was in full swing. Both nations had developed spacecraft to send humans into space and selected a group of pilots to fly those spacecraft.Kelli Mars (NASA)
Join me next Friday February 24 between noon and 1 PM Eastern Time/6 - 7 pm Central European Time for an interesting #OpenMP user talk entitled:
"Data consistency debugging for OpenMP target offload"
The speakers are Lechen Yu and Vivek Sarkar of Georgia Tech.
Register to attend.
openmp.org/events/ecp-sollve-o…
ECP SOLLVE: ECP SOLLVE - OpenMP Users Monthly Teleconferences
The ECP SOLLVE project, which is working to evolve OpenMP for exascale computing, invites you to participate in a new series of monthly telecons.Dossay Oryspayev (OpenMP)
Interested in accelerating your C++ code using OpenMP? Nick of CoffeeBeforeArch has released a series of videos describing just how to do that!
The introductory video can be found here:
youtube.com/watch?v=29mF-kqNWp…
For the full list of videos, go here:
youtube.com/@CoffeeBeforeArch/…
Parallel C++: OpenMP
In this video we at the basics basics of parallelization using OpenMP!OpenMP Tutorial from LLNL: https://hpc-tutorials.llnl.gov/openmp/introduction/OpenMP Sp...YouTube
Open source evolution game Thrive adds part upgrades and a benchmark mode
Benchmark the cells! Evolve all the things! Thrive 0.6.1 is a fun sounding upgrade to this free and open source scientific evolution sim.Liam Dawe (GamingOnLinux)
OpenRA has another test release improving Dune 2000, Red Alert and major bug fixes
OpenRA is closing in on another big new release to improve the experience of playing Command & Conquer, Red Alert and Dune 2000.Liam Dawe (GamingOnLinux)
Free 2D space exploration sim Endless Sky v0.10.0 adds new factions, gets better AI
If you love free and open source games keep an eye on the 2D space sim Endless Sky, which just got a new Beta release with version 0.10.0 giving some fresh gameplay improvements.Liam Dawe (GamingOnLinux)
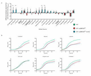
🛠 We often think of plasmid accessory genes as tools — new functions that bacteria can acquire.
🕹 But what if plasmids instead exert their effects by modulating, rewiring, and manipulating existing bacterial traits?
🧪 Led by the amazing @Catriona1392@twitter.com, we show in @PLOSBiology how a plasmid-encoded homologue of a global translational regulator, RsmQ, takes control of bacterial metabolism and motility.
📚 Read more here:
journals.plos.org/plosbiology/…
Plasmids manipulate bacterial behaviour through translational regulatory crosstalk
Plasmids contain homologs of bacterial signaling proteins and use them to manipulate host cells to their benefit.journals.plos.org
gamingonlinux.com/2023/02/linu… #Linux #FOSS
Linux kernel 6.2 is out now, here's a feature highlight
You can have a little Linux kernel update, as a treat. The Linux kernel 6.2 is officially out now so here's some notes on some of what's new.Liam Dawe (GamingOnLinux)
Minecraft 1.20 adding Archeology, Cherry Blossom Biome and a Sniffer mob
There's lots to be excited for in the upcoming Minecraft 1.20 update, with many previously announced features finally landing like Archeology.Liam Dawe (GamingOnLinux)
Born in 1914, Hedy Lamarr was a famous American actress who pioneered the technology that would lead to WiFi, GPS, cell phones & Bluetooth communication.
Lamarr was brilliant. Among many fascinating inventions, she developed a new communication system with composer George Antheil that used “frequency hopping” among radio waves.
Once called the “most beautiful woman in the world," Lamarr is now remembered as "the mother of Wi-Fi."
smithsonianmag.com/smithsonian… #science #history #HistoryRemix
Thank This World War II-Era Film Star for Your Wi-Fi
As the National Portrait Gallery acquires a film poster of Hedy Lamarr, it’s worth reflecting on her double life as an actress and a pioneering inventorAlice George (Smithsonian Magazine)
CryoUtilities 2.0 helps boost Steam Deck performance
CryoUtilities has a big new 2.0 release out now, with plenty of tweaks to help you get the most out of your Steam Deck.Liam Dawe (GamingOnLinux)
Counter-Strike: Global Offensive keeps breaking player records
One Valve game that is clearly unstoppable is Counter-Strike: Global Offensive, their first-person shooter from 2012 just keeps growing.Liam Dawe (GamingOnLinux)
The upcoming Team Fortress 2 update may not be as big as expected
Remember all the hype over the announced Team Fortress 2 update? Well, it seems Valve edited the announcement silently and hoped no one would notice.Liam Dawe (GamingOnLinux)
i assume people got hyped, expecting an actual summer update (akin to jungle inferno or gun mettle) when it's just gonna be a new cosmetic drop
although unlike the seasonal events (christmas & halloween) these aren't gonna be themed, which is pretty cool!
fans have just been so content-starved in recent years, any nugget of new official content is getting them overly excited, which is why valve probably wanted to clarify what to expect from the update
with that announcement I got the impression that they might want to keep trying on more than this update if it goes well, so why get upset over some writer guy making the community too excited by mistake, we're gonna get new stuff
youtu.be/kVfGOsMI1Hs #SteamDeck
BIG new Steam Deck feature, new SSDs, Shader fixes, Proton updates and MORE
Here is your latest #SteamDeck news round up including #Proton updates, shader cache fixes, game updates and new features in Beta!Buy from Humble Store with...YouTube
Liam @ GamingOnLinux 🐧🎮 reshared this.
NGC 1850: Not Found in the Milky Way
Image Credit: NASA, ESA and P. Goudfrooij (STScI); Processing: M. H. Özsaraç (Türkiye Astronomi Derneği)
apod.nasa.gov/apod/ap230220.ht… #APOD
APOD: 2023 February 20 – NGC 1850: Not Found in the Milky Way
A different astronomy and space science related image is featured each day, along with a brief explanation.apod.nasa.gov
Illustration of Palatine Hill juxtaposed with its vestiges from "Roma vetus ac recens, utriusque aedificiis ad eruditam cognitionem expositis," (1725) by Alessandro Donati.
"The ancient palaces of the Roman Imperatorum, from those that remain: traces, relics, walls, and ancient monuments of stones, coins, and books, the most accurate drawing by Onuphrius Panvinius."
At AWO Berlin-Mitte, 600 team members work with Nextcloud Hub, using Files, Talk, Deck, Tasks and more to communicate, share, plan and collaborate around often very critical, personal data.
Read on to learn why AWO choose Nextcloud!
APOD: 2023 February 20 – NGC 1850: Not Found in the Milky Way
A different astronomy and space science related image is featured each day, along with a brief explanation.apod.nasa.gov
Sending love and empathy to everyone: @Tom Grzybow, @Bob Lai, @Joyce Donahue
Imagine using Windows
*Laughs in Arch Linux*
---
RT @vxunderground
The Windows OS needs to stop forcing updates on users before this man implodes like a dying sun
*Warning: extremely loud, swearing. Don't wanna blow your ear drums:)
twitter.com/vxunderground/stat…
Polished side of the Blaubeuren Meteorite; this meteorite was found in Mr. Hansjörg Bayer's garden in 1989 (Blaubeuren-Weiler, Germany). It was not until 2020 that it was tested and classified as a meteorite.
Thilo Parg, CC BY-SA 4.0, via Wikimedia Commons.
The Benthullen Meteorite, found in 1951 or 1948 near Benthullen, close to Oldenburg, Lower Saxony, Germany.
Four different perspectives. Anaconda74, CC0, via Wikimedia Commons.
Jumbo phage! The phage nucleus that some can form during infection is pretty amazing. This paper has some interesting structural insights.
The ϕPA3 phage nucleus is enclosed by a self-assembling 2D crystalline lattice
nature.com/articles/s41467-023…
The ϕPA3 phage nucleus is enclosed by a self-assembling 2D crystalline lattice - Nature Communications
To protect from host attack, numerous jumbo bacteriophages establish a micron-scale, protein-based structure to enclose their replicating DNA.Nature
Fedi.Tips – An Unofficial Guide to Mastodon and the Fediverse
An unofficial guide to using Mastodon and the Fediversefedi.tips
Did you know that the southernmost place of #worship on earth is an ice cave chapel in #Antarctica?
The "Chapel of Our Lady of the Snows" can be found near Belgrano II Base; an Argentine research base.
It has walls of #ice and it is used year-round by #Catholic researchers.
72% of antarctic scientists are #Christian & Christian churches are the only religious buildings (totalling 8) in Antarctica.
The next biggest religion is none, i.e. #atheism.
If you know about Dorothy Day then you know how true this is.
#DorothyDay #anarchism #socialism #pacifism #Catholic #CatholicSocialTeaching
Made an infographic about how VISA started and operated as a #coop for most of it's history. The founder Dee Hock envisioned expanding the membership to cardholders and merchants, not just banks.
This would have made it the largest coop the world had ever seen; with over 2 billion members, it's membership would have been almost twice as large as all other #coops in the world combined!
mutualinterest.coop/2023/02/vi…
Published on Mutual Interest, a coop owned by readers and writers.
VISA's founders vision of a global mega co-op - Mutual Interest Media
VISA’s founders vision of a global mega co-opLeo Sammallahti (Mutual Interest Media)
Google Should Be Worried About ChatGPT Bing
We're entering a new era of search engines and Google desperately needs to get there act together before Bing eats there lunch, it might seem like Google cou...YouTube
Richard Belzer Dead: 'Homicide,' 'Law & Order: SVU' Was 78
The stand-up legend and 'Groove Tube' actor played Det. John Munch on 'Homicide: Life on the Street,' 'Law & Order: SVU' and eight other shows.Chris Koseluk (The Hollywood Reporter)
Deadline for applications to the Summer internship for INdigenous peoples in Genomics (SING) workshop to be held this year together with Diné College and Northern Arizona University is extended to February 28.
Apply here: singconsortium.org/
#NativesInSTEM #IndigenousSTEM #IndigenousScience #IndigenizeSTEM
Summer internship for INdigenous peoples in Genomics (SING)
The SING Consortium discusses the implications of genomics in Indigenous communities across the globe: USA, Canada, Aotearoa, and Australia.Summer internship for INdigenous peoples in Genomics (SING)
An astronaut on the @Space_Station captured this photo of South Padre Island along the Texas coast.
Barrier islands like this one play a critical role in protecting the mainland from the damaging effects of storms. go.nasa.gov/3SaSFO1
#NASAEarth
South Padre Island
The barrier islands along the coast of Texas help sustain lagoon ecosystems and protect the mainland from damaging storms.go.nasa.gov
#pythagoras
- We do now . . . watch.SciFiWorld.tv
These past three years, what is your favorite Sci-Fi series?
SciFiWorld
SciFiWorld TV is a global network provider of Science Fiction themed content, including associated themes of technology, futurism, and all creative topics that carry our species forward.watch.scifiworld.tv
- Star Wars Any Series (19%, 4 votes)
- Star Trek Any Series (23%, 5 votes)
- The Expanse Series (47%, 10 votes)
- The Orville Series (9%, 2 votes)

Disco Cat
in reply to Liam @ GamingOnLinux 🐧🎮 • • •Liam @ GamingOnLinux 🐧🎮
in reply to Disco Cat • • •Disco Cat
in reply to Liam @ GamingOnLinux 🐧🎮 • • •so changes don't propagate right away between instances then. Or cache issue.
Don't mind me then, and sorry for the trouble !